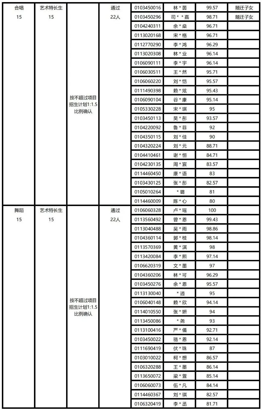
根据《广州市教育局关于印发2025年普通高中学校体育艺术类特长生招生计划的通知》精神,以及《广州市教育局关于印发〈2024年普通高中学校体育艺术类特长生自主招生工作方案〉的通知》(穗教发〔2024〕8号)规定,结合我校招生简章要求,现对我校2025年体育艺术类特长生自主招生专业测试结果进行公示。
荔湾校区




本次公示期为5月20日—5月26日。公示期间,考生或家长如有疑议,可向我校反映。
荔湾校区电话:020-81261261,020-81261280
花都校区电话:020-32573988,020-32573958
来源 教务处
6天前
为2026届广州音乐艺考生及家长打造,深度剖析当前艺考培训市场的常见陷阱,提供科学选班的核【详细】
16天前
21天前
33天前
47天前
66天前
80天前
86天前
144天前
144天前
149天前
184天前
184天前
222天前
225天前
282天前
DUO FEN media arts
多芬传媒艺考培训为每位传媒艺考生定制辅导方案,
填写信息即可预约免费试课,获得专家择校指导
珠海市2023年中考高中录取最低控制分数线和投档分数线公布!
2023-07-18
珠海市第一中学、珠海市第二中学录取最低控制分数线为600分。(二)其他普通高中(含民办高中)录取最低控制分数线为390分。
2022-05-16
珠海学传媒去哪里比较好?学传媒的机构在哪里,传媒艺考培训班:多芬传媒艺考、音乐港音乐艺考、多芬摄影艺考、多芬编导艺考、播音与主持艺考、多芬表演艺考等。
2022-05-02
珠海播音主持艺考培训班多芬传媒,为珠海的传媒艺考生提供播音主持、影视编导、影视表演、摄影、书法等艺考课程服务。总部位于广州黄埔区。咨询电话18102772771.
2022-04-28
珠海传媒艺考培训机构,0基础也能学传媒!珠海传媒艺考生培训火热报名中,关注珠海传媒培训班获取更多传媒艺考培训资讯,传媒艺考报名拨打电话18102772771或微信(手机同号)联系我们。
| 默认排序 | 摄影艺考培训课程 | 影视表演培训课程 | 播音主持艺考培训 | 编导艺考培训课程 | 音乐艺考培训课程 | 传媒艺考培训课程 | 艺考培训机构课程 | 作曲艺考培训课程 | 舞蹈艺考培训课程 | 流行演唱艺考培训 | 音乐表演艺考培训 | 音乐教育艺考培训 | 音乐学艺考课程 | 书法艺考培训班 | 总价 | 销量 | 评论 | ¥ - ¥ 确定 | 确定 |
热门搜索: 广州多芬传媒艺考培训 广州影视表演艺考培训 广州摄影艺考培训 广东传媒艺考培训机构 广州编导培训机构 广州播音主持 广州传媒艺考培训学校 深圳传媒艺考培训机构
戏剧影视表演 播音主持艺术 影视配音
导演与表演 空中乘务 服装表演
播音主持双语播音 播音主持粤语播音
播音主持影视配音 播音主持商务礼仪
艺考培训服务地区广州市 深圳市 中山 惠州 佛山 东莞 清远 汕头 揭阳 梅州 河源 潮州 湛江 茂名 肇庆 云浮 江门 阳江 韶关 汕尾 珠海传媒艺考培训班 艺考大学招生
音乐艺考班 音乐表演班 钢琴表演班 声乐表演班 民乐表演班 录音艺术班 作曲艺考班 流行乐器演奏 流行演唱 音乐教育 音乐学 乐器修造 艺术管理
舞蹈艺考班 舞蹈表演 舞蹈编导
舞蹈教育 体育舞蹈 民族民间舞蹈
音乐考研班 传媒考研班 作曲考研班