手机

密码

注册 忘记密码?
广州多芬艺考测评规划
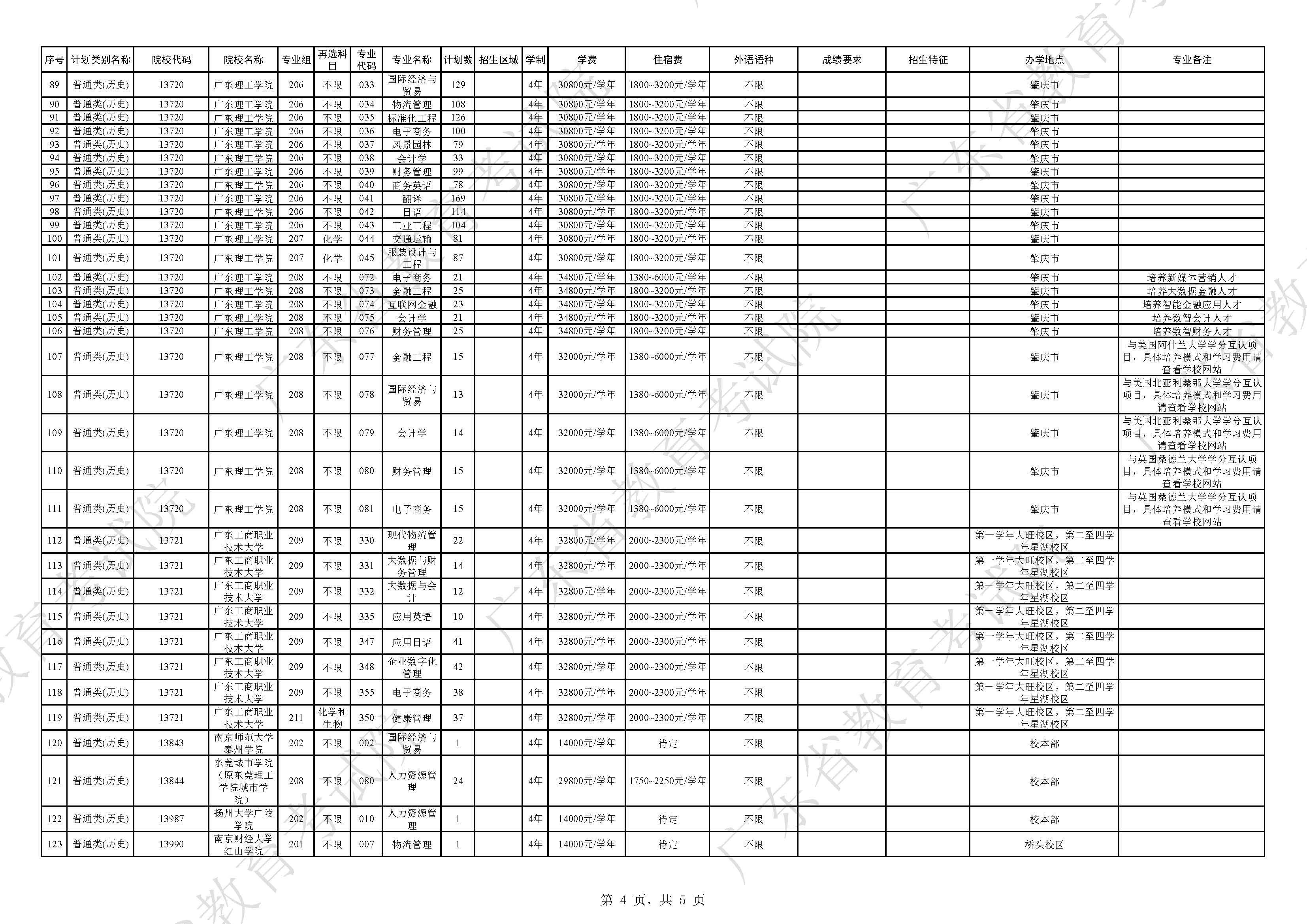
广东省2022年高考本科征集志愿招生计划表【普通类(历史)】
来源:广东省2022年征集志愿 | 作者:广东省2022年征集志愿 | 发布时间: 2022-07-24 | 20287 次浏览 | 🔊 点击朗读正文 ❚❚ | 分享到:
广东省2022年高考本科征集志愿招生计划表【普通类(历史)】




广东省2022年播音与主持招生计划



DUO FEN media arts 

多芬传媒艺考培训,让传媒艺考更简单

  • 学生姓名
  • 联系电话*
  • 来自高中
立即咨询报名

专业水平测试定制你的考学方案

多芬传媒艺考培训为每位传媒艺考生定制辅导方案,

填写信息即可预约免费试课,获得专家择校指导