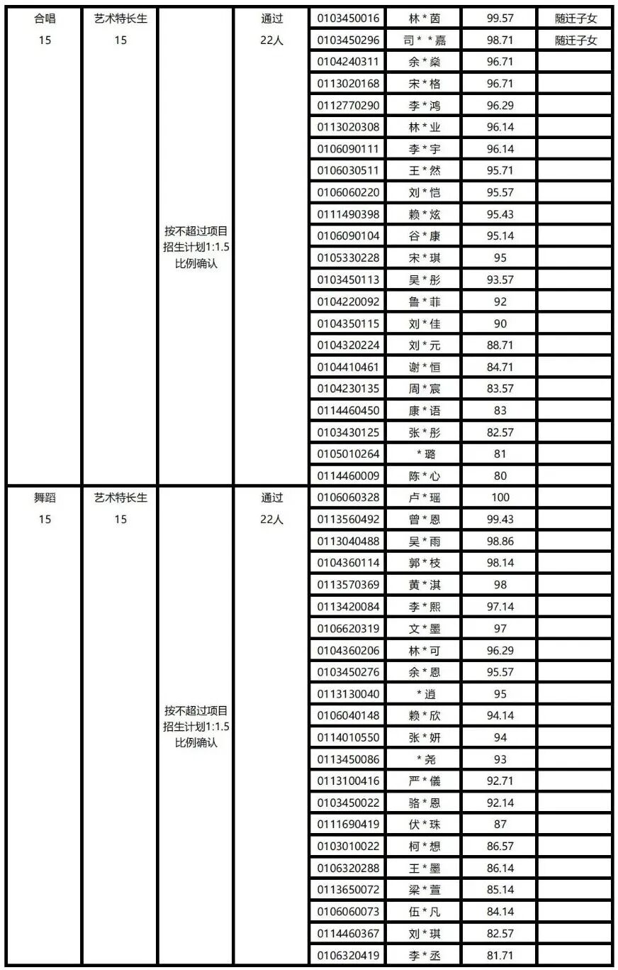
根据《广州市教育局关于印发2025年普通高中学校体育艺术类特长生招生计划的通知》精神,以及《广州市教育局关于印发〈2024年普通高中学校体育艺术类特长生自主招生工作方案〉的通知》(穗教发〔2024〕8号)规定,结合我校招生简章要求,现对我校2025年体育艺术类特长生自主招生专业测试结果进行公示。
荔湾校区




本次公示期为5月20日—5月26日。公示期间,考生或家长如有疑议,可向我校反映。
荔湾校区电话:020-81261261,020-81261280
花都校区电话:020-32573988,020-32573958
来源 教务处
2天前
多芬艺考面向华南师范大学附属中学(石牌校区)开设传媒艺考培训班,包括播音主持、影视表演、影【详细】
1天前
2天前
7天前
7天前
12天前
12天前
12天前
13天前
13天前
14天前
14天前
15天前
15天前
17天前
17天前
DUO FEN media arts
2023-07-20
茂名市人民政府与广东实验中学携手合作,签署办学协议,广东实验中学附属茂名学校应运而生,选址定在共青河新城。2022年,双方进一步加深合作,增加学校校区,扩充办学学段,扩大办学规模,共同提升区域优质教育资源的供给水平。作为茂名市教育局主管的十二年制学校,广东实验中学附属茂名学校涵盖小学、初中、高中学段。
| 默认排序 | 摄影艺考培训课程 | 影视表演培训课程 | 播音主持艺考培训 | 编导艺考培训课程 | 音乐艺考培训课程 | 传媒艺考培训课程 | 艺考培训机构课程 | 作曲艺考培训课程 | 舞蹈艺考培训课程 | 流行演唱艺考培训 | 音乐表演艺考培训 | 音乐教育艺考培训 | 音乐学艺考课程 | 书法艺考培训班 | 总价 | 销量 | 评论 | ¥ - ¥ 确定 | 确定 |
热门搜索: 广州多芬传媒艺考培训 广州影视表演艺考培训 广州摄影艺考培训 广东传媒艺考培训机构 广州编导培训机构 广州播音主持 广州传媒艺考培训学校 深圳传媒艺考培训机构
戏剧影视表演 播音主持艺术 影视配音
导演与表演 空中乘务 服装表演
播音主持双语播音 播音主持粤语播音
播音主持影视配音 播音主持商务礼仪
艺考培训服务地区广州市 深圳市 中山 惠州 佛山 东莞 清远 汕头 揭阳 梅州 河源 潮州 湛江 茂名 肇庆 云浮 江门 阳江 韶关 汕尾 珠海传媒艺考培训班 艺考大学招生
音乐艺考班 音乐表演班 钢琴表演班 声乐表演班 民乐表演班 录音艺术班 作曲艺考班 流行乐器演奏 流行演唱 音乐教育 音乐学 乐器修造 艺术管理
舞蹈艺考班 舞蹈表演 舞蹈编导
舞蹈教育 体育舞蹈 民族民间舞蹈
音乐考研班 传媒考研班 作曲考研班