


[热门文章] 广州播音主持艺考培训哪家好?2026最新...
2026-03-13
2026-03-05
2026-03-03
[广东教育考试信息] 2026年初中艺术学业水平考试报名等工作...
2026-03-03
[广东教育考试信息] 广州市招生考试委员会办公室关于做好202...
2026-03-03
[西安音乐学院] 西安音乐学院2026年本科招生专业考试第...
2026-01-13
[广东教育考试信息] 广东省2026年普通高校招生美术与设计类...
2026-01-09
[热门文章] 考武汉音乐学院作曲系,去哪家作曲艺考培训...
2026-01-08
[热门文章] 广州作曲艺考培训机构哪家强?多芬为你量身...
2026-01-08
2026-01-05
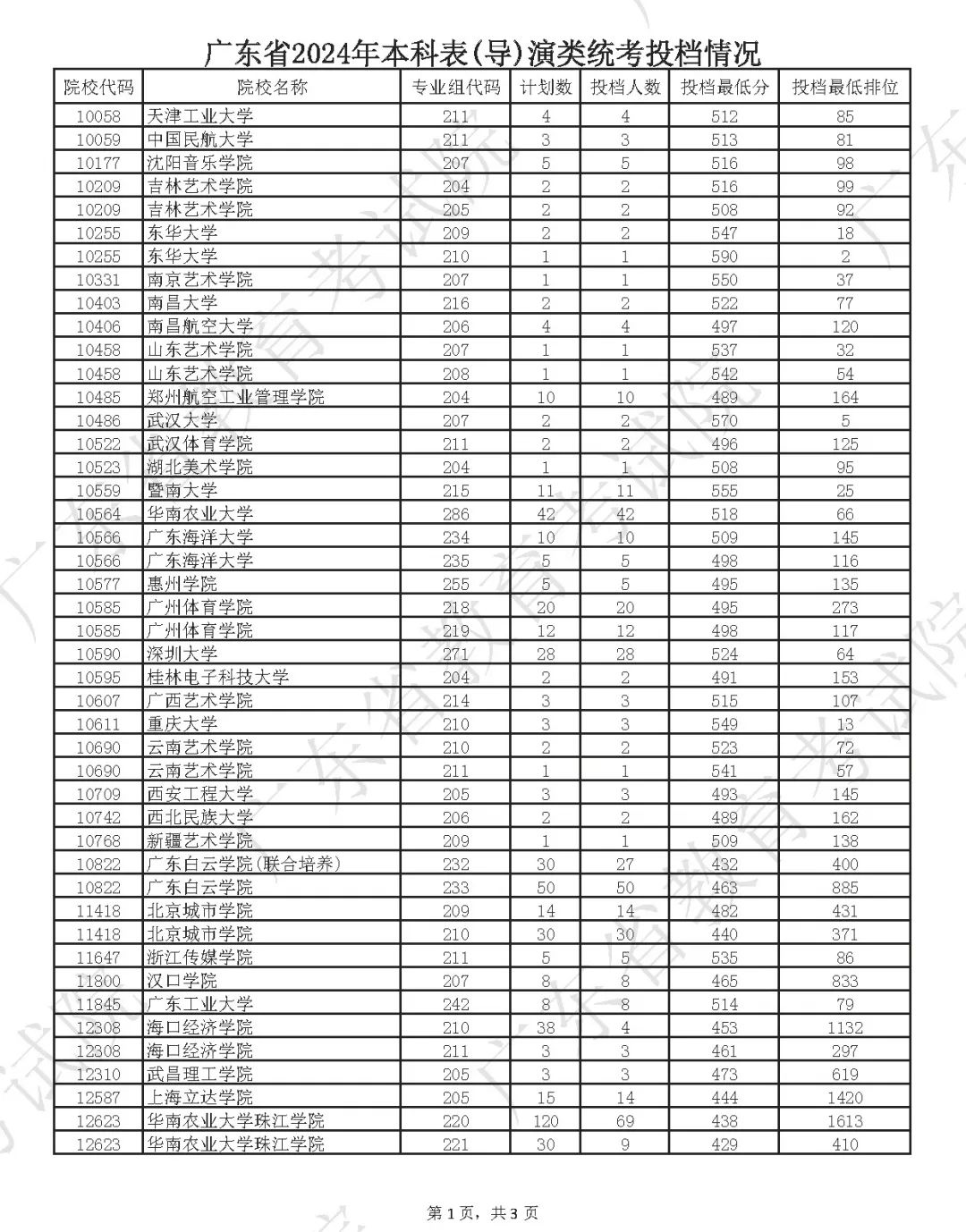
广东省表(导)演类统考按综合分录取,投档分为综合分,折算公式为:高考文化分数×50%+专业统考分数×50%×2.5
广东省播音与主持类统考按综合分录取,投档分也综合分,折算公式为:高考文化分数×60%+专业统考分数×40%×2.5





[热门文章] 广州播音主持艺考培训哪家好?2026最新机构深测与...
2026-03-13
[北京市] 北京市音乐艺考培训哪里好?家长和学生最关心的选择指...
2026-03-05
2026-03-03
[广东教育考试信息] 2026年初中艺术学业水平考试报名等工作的通知
2026-03-03
[广东教育考试信息] 广州市招生考试委员会办公室关于做好2026年广州市...
2026-03-03
[西安音乐学院] 西安音乐学院2026年本科招生专业考试第一阶段视频...
2026-01-13
热门搜索: 广州多芬传媒艺考培训 广州影视表演艺考培训 广州摄影艺考培训 广东传媒艺考培训机构 广州编导培训机构 广州播音主持 广州传媒艺考培训学校 深圳传媒艺考培训机构
戏剧影视表演 播音主持艺术 影视配音
导演与表演 空中乘务 服装表演
播音主持双语播音 播音主持粤语播音
播音主持影视配音 播音主持商务礼仪
艺考培训服务地区广州市 深圳市 中山 惠州 佛山 东莞 清远 汕头 揭阳 梅州 河源 潮州 湛江 茂名 肇庆 云浮 江门 阳江 韶关 汕尾 珠海传媒艺考培训班 艺考大学招生
音乐艺考班 音乐表演班 钢琴表演班 声乐表演班 民乐表演班 录音艺术班 作曲艺考班 流行乐器演奏 流行演唱 音乐教育 音乐学 乐器修造 艺术管理
舞蹈艺考班 舞蹈表演 舞蹈编导
舞蹈教育 体育舞蹈 民族民间舞蹈
音乐考研班 传媒考研班 作曲考研班