艺考问题咨询
艺考课程试听
 广东教育考试信息网 一站式艺考服务机构,包含传媒,音乐,舞蹈等课程
扫一扫微信立即咨询
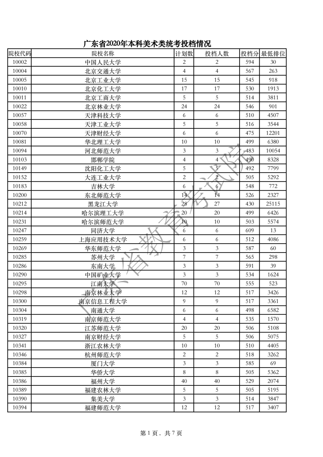
广东省2020年本科美术类统考投档情况
来源:广东省2020年本科美术类统考 | 作者:广东省2020年本科美术类统考 | 发布时间: 2020-08-18 | 12874 次浏览 | 🔊 点击朗读正文 ❚❚ | 分享到:
广东省2020年本科美术类统考投档情况
广东省2020年本科美术类统考投档情况

广东省2020年本科美术类统考投档情况广东省2020年本科美术类统考投档情况广东省2020年本科美术类统考投档情况广东省2020年本科美术类统考投档情况广东省2020年本科美术类统考投档情况广东省2020年本科美术类统考投档情况广东省2020年本科美术类统考投档情况