广州播音主持艺考测评规划机构

手机

密码

注册 忘记密码?

专业播音与主持艺考培训测评平台


汇集全国优质播音主持艺考机构真实测评数据,提供专业备考指导与院校信息,助力考生实现艺术梦想

免费测评规划
播音主持艺考测评机构
热门艺考文章
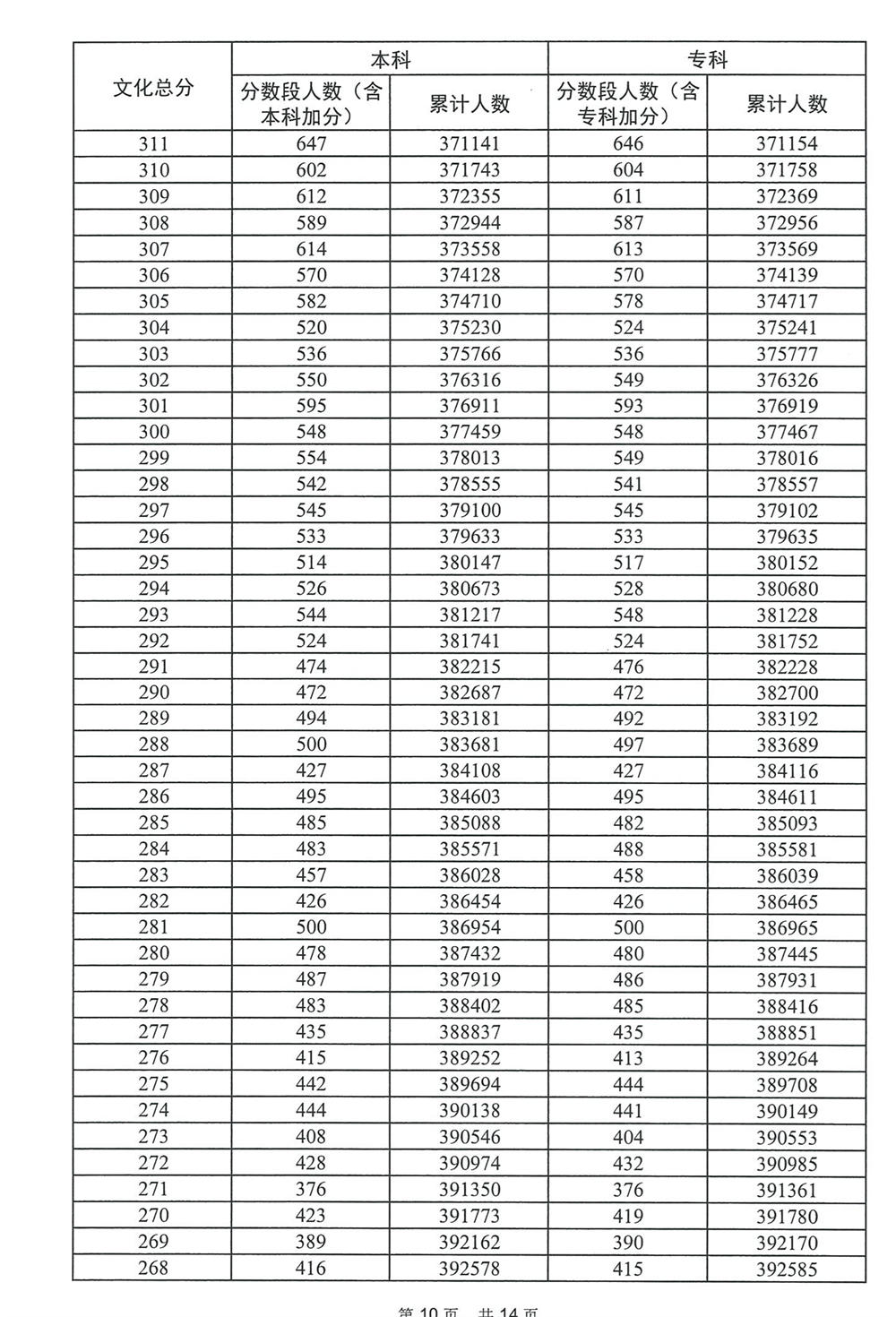
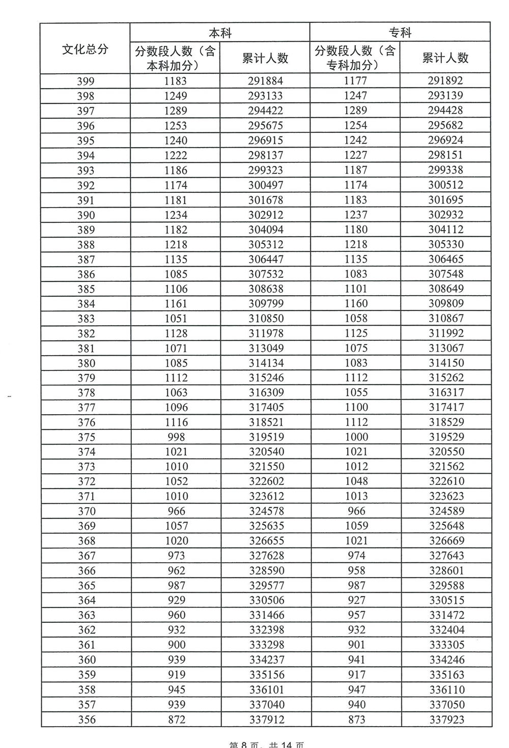
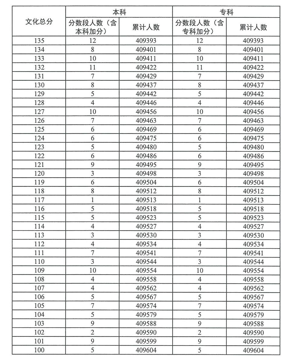
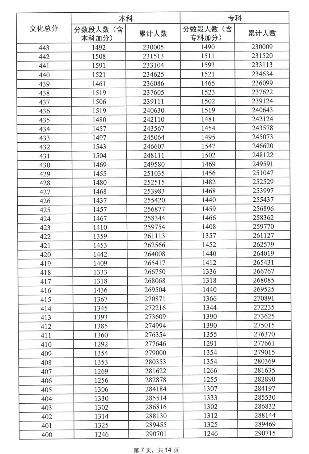
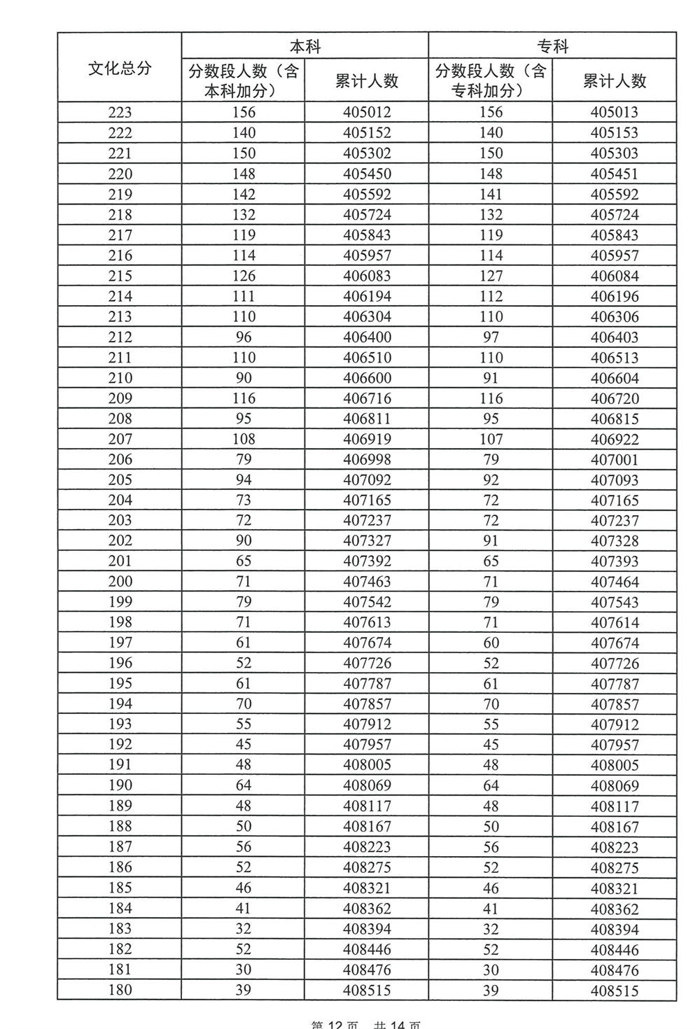
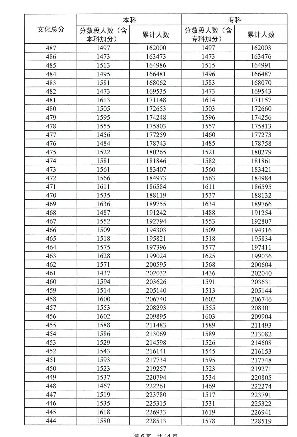
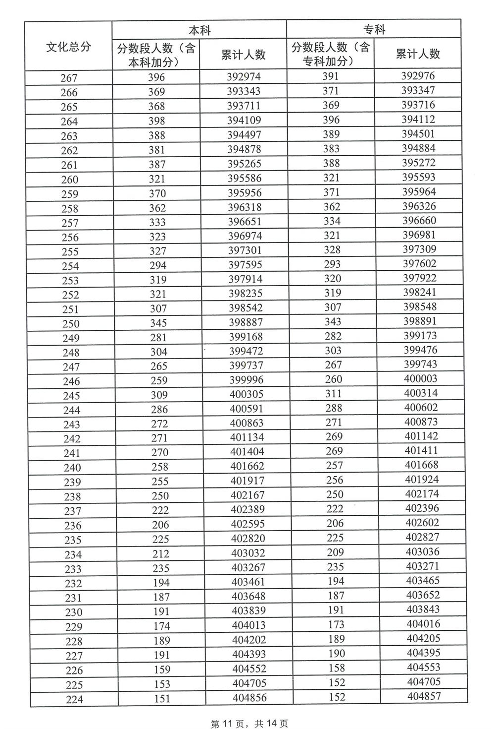
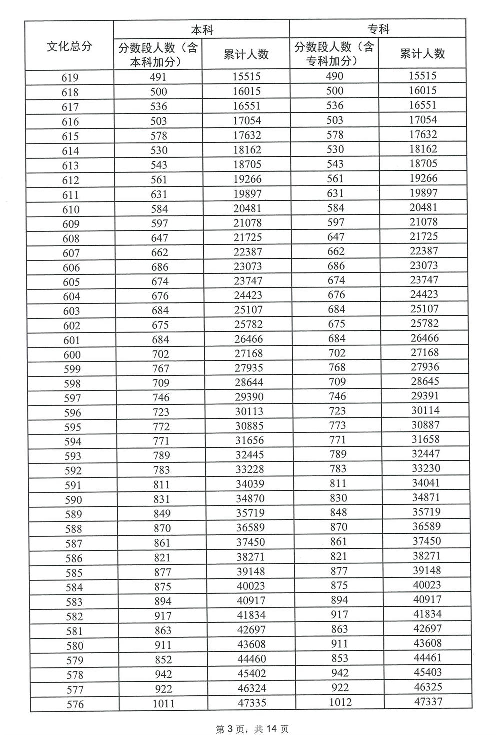
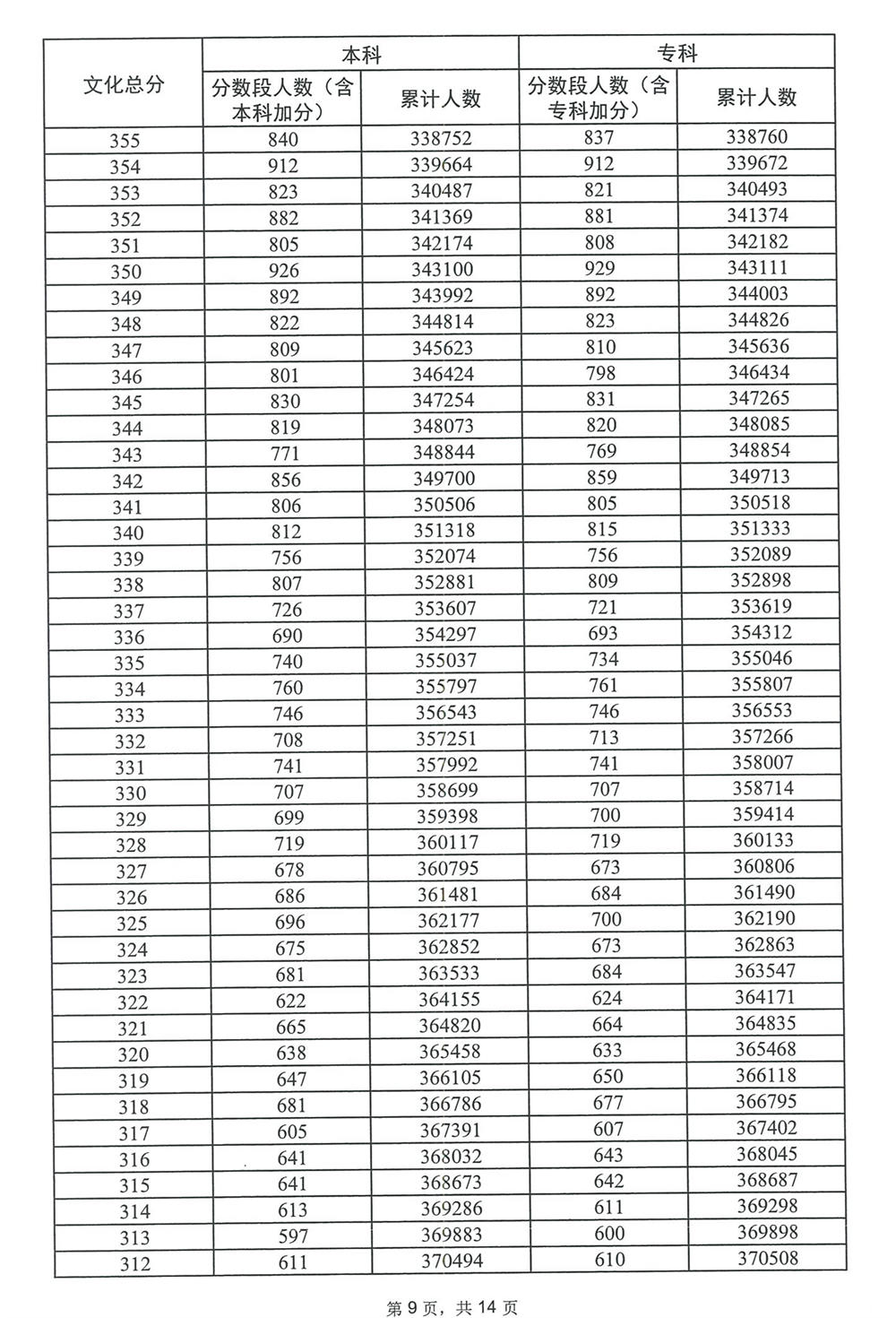
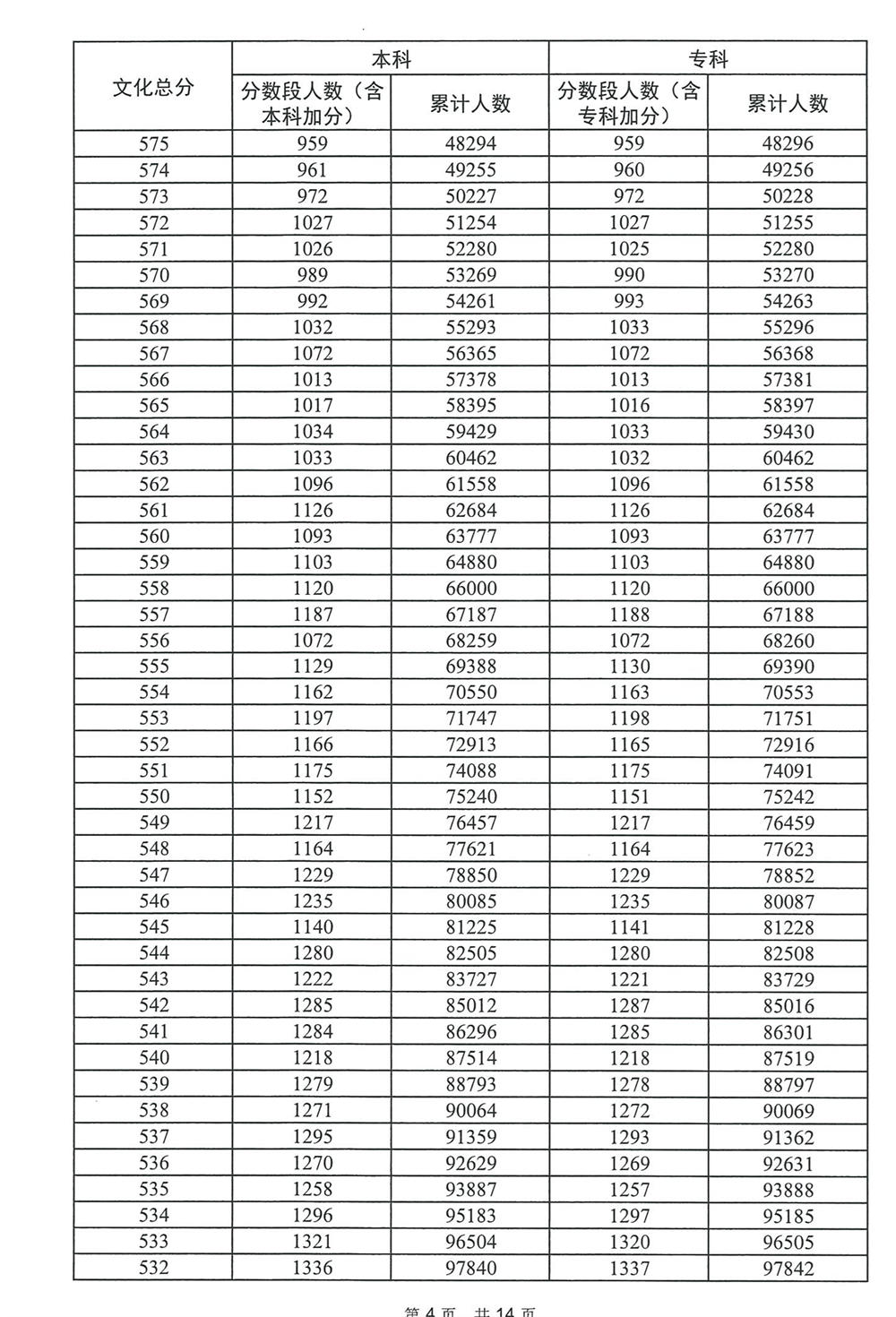
广东省2023年高考普通类(物理)分数段统计表
来源:2023年广东省高考 | 作者:2023年广东省高考 | 发布时间: 2023-07-02 | 35925 次浏览 | 🔊 点击朗读正文 ❚❚ | 分享到:
广东省2023年高考普通类(物理)分数段统计表

广东省2023年高考普通类(物理)分数段统计表




热门艺考文章
热门推荐文章
相关文章
© 2025 多芬播音与主持艺考测评 版权所有 | 粤ICP备17162748号
关于我们
广州多芬播音主持艺考测评网是专业的播音主持艺考高考资讯平台,致力于为播音主持艺考生和家长提供真实、全面的培训机构测评、备考指南和院校信息。

邮箱:2836451192@qq.com

电话:18102772771

微信公众号:广州多芬艺术

地址:广州市黄埔区开发大道422号

联系我们

微信公众平台





关注我们
快速连接